Note Set 11c: Why the dimension of $\mathbf{A}$'s Column Space = the rank of $\mathbf{A}$
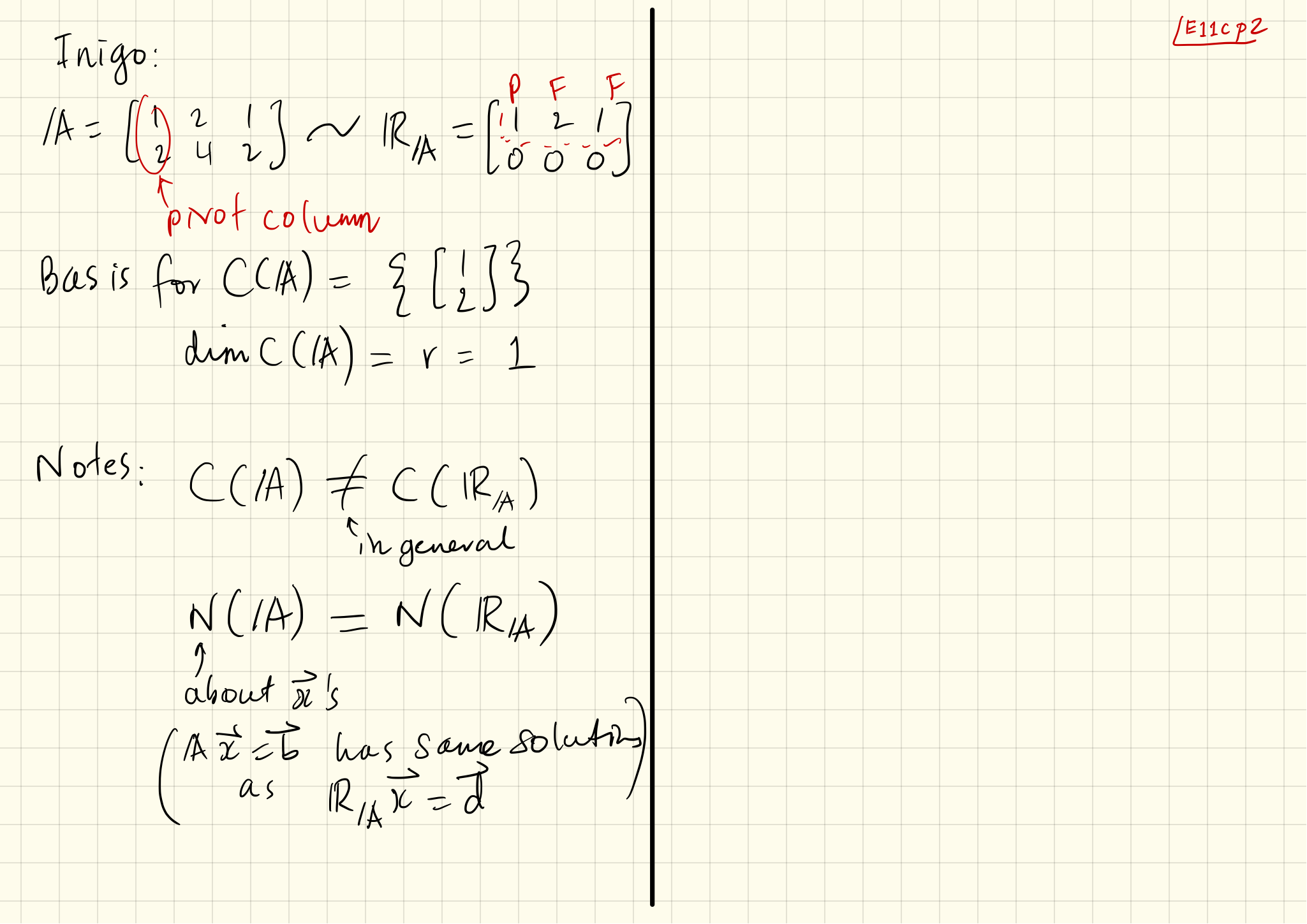
We argue why the dimension of $\mathbf{A}$'s Column Space is $r$, the rank of $\mathbf{A}$. The key observation is that the linear relationships between the columns (e.g., Column 1 = -3 Column 2 + 7 Column 5) are not changed by row operations. We can then use the simple form of $\mathbf{R}_{\mathbf{A}}$ to see how $\mathbf{A}$'s columns are related and thereby find a basis for Column Space. All of this is very enjoyable.
Best consumed by 2016/10/05