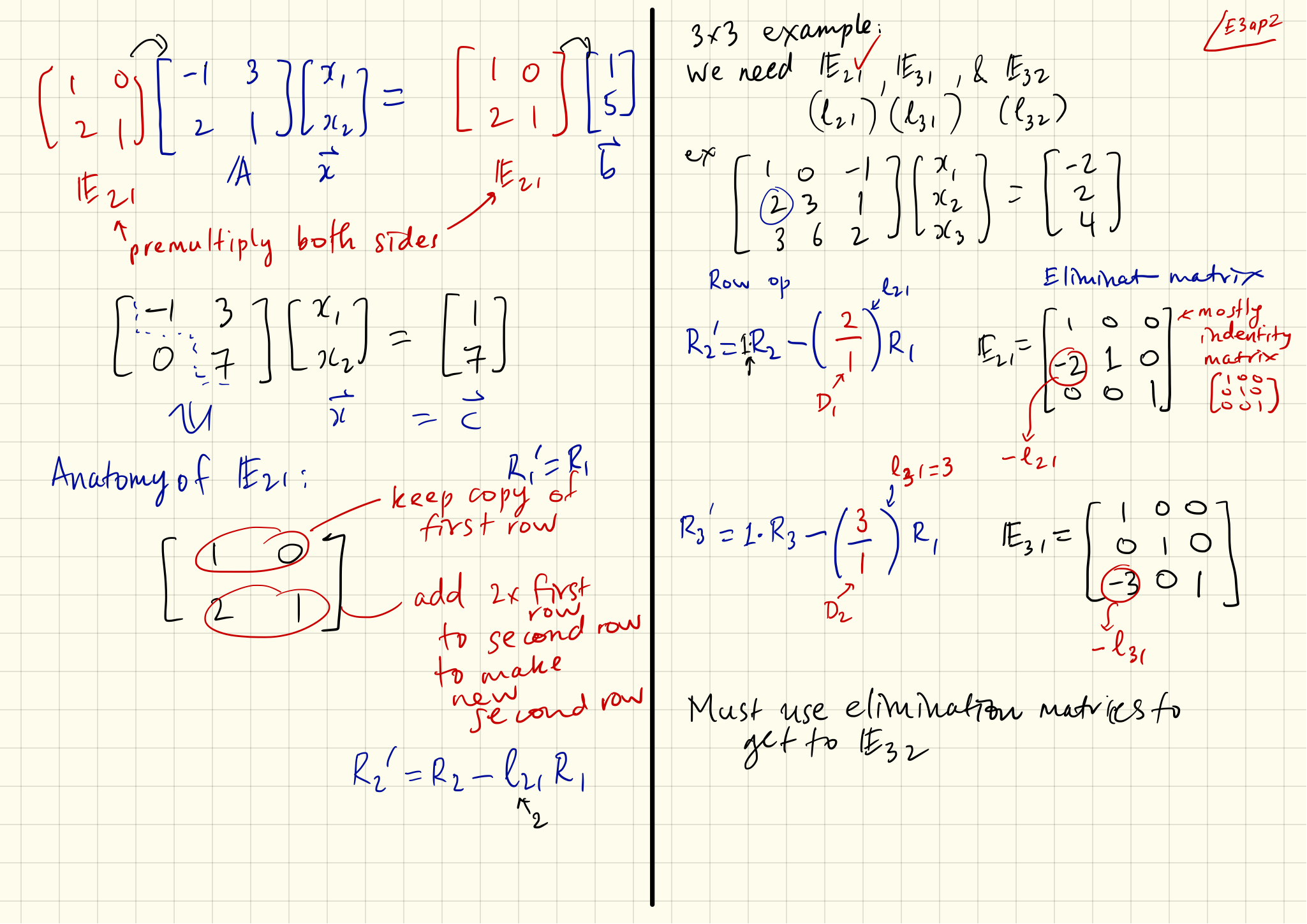
Note Set 03a: The way of the Elimination Matrix

If a matrix can do the job for us, we embrace that matrix. We show how row operations, both eliminations and swaps, can be performed by special matrices premultipling our friend $\mathbf{A}\vec{x}=\vec{b}$.
Best consumed by 2016/09/05


  • Page 10
  • Page 11
  • Page 12
  • Page 13